Application for Researcher
BER-PLOT
Frequently Asked Questions
History of "BER-PLOT"
In 2004, the graph tool for bit-error-rate performance was sold in only Japan as the name of "Shanghai-crab". At that time, many people made a chart of BER performances on error-rate grid sheet by hand. This application is supplied with many major companies, government research institutes, national universities, etc. The people in the United State requested to create this application for oversea use. New version of "BER-PLOT" provides new functionalities. Please see the user manual for more details.
About licence fee
Licence file will be issued per person. If you order more than 2 licences, licenced number of licence files will be issued. In this case, please input users' information (name, prefix, and e-mail adress) in "Comment" of "Estimate Form." A licence file will be attached to personal e-mail adress.
- 1 person
- $98
- 2~4 persons
- $90 / person
- 5~10 persons
- $80 / person
What is import file formats ?
Supported file formats are Comma-Separated Values (*.csv) and Microsoft™ Excel Worksheet (*.xls). However reading speed of Excel files is relatively slow in comparison to that of CSV files. I recommend you use CSV format in terms of reading speed and stability.
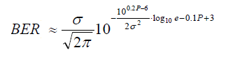
How does BER performance draw ?
A BER performance is calculated based on these formula for an intensity modulated direct detection (IM-DD) receiver.
See the user's manual for more details.
How do I get technical support ?
You can get technical support. If any problems arise, please contact me with the information as below.
- OS
- Error event
- Screen shot (if possible)
Additionaly, I'm agreeable to providing e-mail support on your demand.
Is there CD-ROM version of "BER-PLOT"
The CD-ROM version of "BER-PLOT" can be sent to you by Japanese Express Mail Service (EMS). The extra fee is $20 + EMS charge ($10~$15). Please input delivery address in "Comment" of "Estimate Form'.